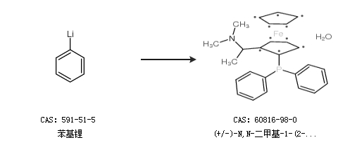
基本信息:
中文名稱 (+/-)-N,N-二甲基-1-(2-二苯基膦)二茂鐵乙胺單水合物
中文別名 (+/-)-N,N-二甲基-1-[(2-二苯基膦基)二茂鐵基]-乙胺單水合物;(±)-N,N-二甲基-1-[(2-二苯基膦基)二茂鐵基]-乙胺單水合物;
英文名稱 (+/-)-N,N-DIMETHYL-1-(2-DIPHENYLPHOSPHINO)FERROCENYLETHYLAMINE MONOHYDRATE
CAS號 60816-98-0
合成路線:
1.通過苯基鋰合成(+/-)-N,N-二甲基-1-(2-二苯基膦)二茂鐵乙胺單水合物

中華試劑網(wǎng)提醒:合成路線僅供參考