基本信息:
中文名稱 2-溴噻唑-5-羧酸
中文別名 2-溴-5-羧基噻唑;2-溴-1,3-噻唑-5-羧酸;2-溴噻唑-5-甲酸;
英文名稱 2-Bromo-5-thiazolecarboxylic acid
英文別名 2-BROMOTHAIZOLE-5-CARBOXYLIC ACID;2-Brom-thiazol-5-carbonsaeure;2-BROMOTHIAZOLE-5-CARBOXYLIC ACID;2-BROMO-1,3-THIAZOLE-5-CARBOXYLIC ACID;2-Bromothiazole-5-carboxylic Acid;2-BROMO-5-THLAZOLECARBOXYLIC ACID;RARECHEM AL BE 1435;2-bromothiazole-5-carboxylate;
CAS號 54045-76-0
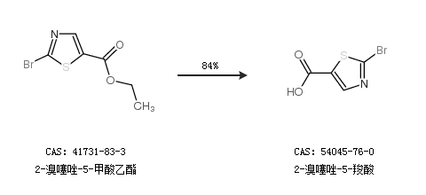
合成路線:
1.通過2-溴噻唑-5-甲酸乙酯合成2-溴噻唑-5-羧酸,收率約84%;

中華試劑網(wǎng)提醒:合成路線僅供參考