基本信息:
中文名稱 N-丙酮基吡啶溴化物
中文別名 N-乙酰溴化吡啶;
英文名稱 1-pyridin-1-ium-1-ylpropan-2-one,bromide
英文別名 1-pyridylacetone,bromide;1-(2-OXOPROPYL)PYRIDINIUM BROMIDE;N-ACETONYLPYRIDINIUM BROMIDE;1-pyridin-1-ium-1-ylpropan-2-one bromide;1-acetonyl-pyridinium,bromide;1-Acetonyl-pyridinium,Bromid;
CAS號(hào) 17282-41-6
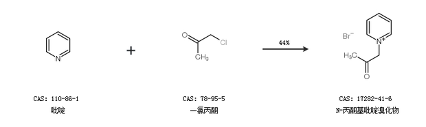
合成路線:
1.通過(guò)吡啶和一氯丙酮合成N-丙酮基吡啶溴化物,收率約44%;

2.通過(guò)吡啶和溴丙酮合成N-丙酮基吡啶溴化物

中華試劑網(wǎng)提醒:合成路線僅供參考