基本信息:
中文名稱 二異戊基硫醚
中文別名 異戊硫;
英文名稱 3-methyl-1-(3-methylbutylsulfanyl)butane
英文別名 ACMC-1BMQ3;Isoamyl sulfide;Butane,1,1''-thiobis(3-methyl;DIISOAMYL SULFIDE;bis-(3-methyl-butyl)-sulfane;Diisopentyl sulfide;Isopentyl sulfide;di(3-methylbutyl)sulfide;diisopentyl sulphide;
CAS號(hào) 544-02-5
合成路線:
1.通過(guò)3-甲基-1-丁硫醇合成二異戊基硫醚

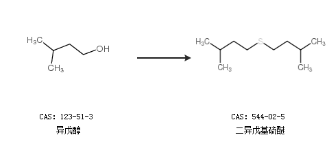
2.通過(guò)異戊醇合成二異戊基硫醚

合成路線僅供參考