基本信息:
中文名稱 4-(溴乙;)吡啶氫溴酸鹽
中文別名 2-溴-1-(4-吡啶基)-1-乙酮氫溴酸;2-溴-1-(4-吡啶基)-1-乙酮氫溴酸;4-(溴乙酰基)吡啶溴酸鹽;2-溴-1-(4-吡啶基)乙酮;4-溴乙;拎滗逅猁};4-(溴乙酰基)吡啶鹽酸;
英文名稱 4-(Bromoacetyl)pyridine hydrobromide
英文別名 2-Bromo-1-(pyridin-4-yl)ethanone hydrobromide;2-bromo-1-pyridin-4-ylethanone,hydrobromide;
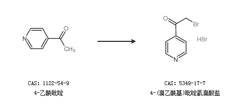
CAS號 5349-17-7
合成路線:
1.通過4-乙酰吡啶合成4-(溴乙;)吡啶氫溴酸鹽,收率約99%;

2.通過4-乙酰吡啶合成4-(溴乙酰基)吡啶氫溴酸鹽

合成路線僅供參考