基本信息:
中文名稱 2-(二乙基氨基)噻唑-5-甲醛
英文名稱 2-(Diethylamino)thiazole-5-carboxaldehyde
英文別名 2-(diethylamino)-1,3-thiazole-5-carbaldehyde;
CAS號(hào) 92940-24-4
合成路線:
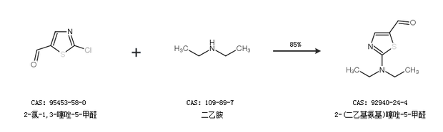
1.通過2-氯-1,3-噻唑-5-甲醛和二乙胺合成2-(二乙基氨基)噻唑-5-甲醛,收率約85%;

2.通過2-氯噻唑和N,N-二乙基甲酰胺合成2-(二乙基氨基)噻唑-5-甲醛

中華試劑網(wǎng)提醒:合成路線僅供參考